钢材商城
采购询价
销售竞价
价格中心
资讯中心
短信平台
电子期刊
钢铁视频
博客家园
品种:
建材
板材
型材
管材
优钢
不锈钢
炉料
有色金属
其他钢材
更多 >>
湖南:
长沙
株洲
湘潭
常德
岳阳
衡阳
益阳
娄底
邵阳
怀化
郴州
永州
张家界
湘西
更多 >>
全国:
武汉
南昌
贵州
重庆
上海
广州
天津
北京
杭州
成都
郑州
更多 >>
当前位置:
首页
->
钢铁资讯-资讯中心
->
出厂价格
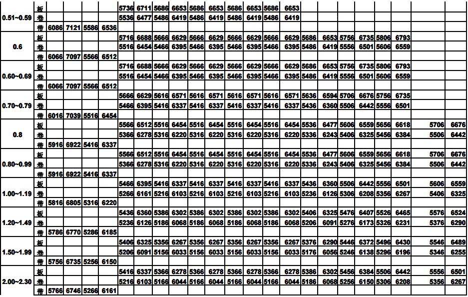
2018年2月宝钢冷轧产品价格表
【字体选择:
大
中
小
】(
2018/2/6
)
关键词:钢材 钢铁 钢材网 钢铁网 湖南钢材 湖南钢铁
本信息仅供您参考,未经许可,不得转载。
本站部分内容摘自互联网,如果给您造成不便或侵犯了您的版权,请与我们联系。
[
收藏该页
] [
告诉朋友
] [
关闭窗口
] [
打印资讯
]
【相关文章】
最新资讯
最新钢材价格
推荐供应商
螺纹钢
联诚钢铁
湘钢工贸
吉木川
大汉物流
湖南九龙
湖南一拓
海璇钢贸
万海钢贸
板材
湖南中钢
长沙诚恒
长沙物贸
诚顺金属
联正实业
湘钢工贸
恒信钢铁
银塔金属
管材
长沙管友
鑫士特
天勤钢管
文思昌
宝津钢铁
长沙鲲鹏
盛仕达
楚云钢铁
型材
天兴钢铁
湖南华裕
琳骏经贸
万州工贸
楚云钢铁
不锈钢
湖南金辉
湖南顺昌
德邦钢铁
正罡金属
经久钢铁
湖南仁本
优钢
中冶钢铁
钢之强
元丰钢铁
湖南华美
德邦钢铁
网站介绍
|
用户注册
|
产品服务
|
广告服务
|
网站导航
|
诚聘英才
|
联系我们
|
友情链接
|
与天贸对话
|
客服电话:0731-82241060 传真号码:0731-82241051
在线播放
湘ICP备 11018614号
增值电信业务经营许可证:湘B2-20130073
Copyright 1999- www.tmxxw.com All Rights Reserved